|
養老投資
嘉實將養老金業務定位為長期戰略業務,深度涉足包括主權財富和基本養老保險基金、企業/職業年金、養老目標基金在內的三大養老業務 養老投資主頁 |
|---|
文:嘉實財富高級研究員 譚華清博士
希望我們每個投資者都能建立合理的分析框架。而現金流貼現模型的正確理解是這個工作的開始。祝愿大家投資愉快!
——寫在前面的話
一、現金流貼現模型是資產定價的核心
資產價格每天都在波動。有時候像浪花,有時候像潮汐。200多年來,一代又一代的智者付出了自己的智慧和思考,試圖尋找到資產價格波動的奧秘。有一個模型自從提出來之后,始終占據投資者分析圖譜中最核心的位置。它就是現金流貼現模型。
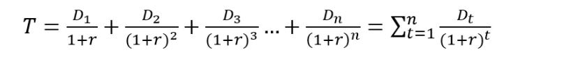
現金流貼現模型的基本表達式如下圖所示:

圖1 現金流貼現模式是生息資產定價的基石
根據不同資產的現金屬性,該等式會有不同的變化。主要變化集中在現金流屬性、存續期長短、折現率含義等上面。我們可以把現金流屬性、存續期、折現率稱之為定價三因子。應用該模型需要注意的地方。如果股票不上市,那么所投股票的價值就應該滿足現金流貼現模型。類似的,所有的資產,如果不是上市交易的話,其價值就應該等于該資產在存續期內提供現金流的現值之和。但有了上市交易這個場景,資產價格變得更加不穩定,因為不同交易者所面臨的信息不同,解讀結論不同,對資產價格前景的預期就會不同,于是就有交易價格。這個交易價格可能會高于資產價值,也可能會低于資產價值。是高于還是低于,這個判斷也是主觀的,并非有一個客觀的標尺。這就是投資的難度。

圖2 股票資產的現金流貼現模型
注:D為每期的現金流,r為折現率,n為股份公司的存續期。
股票資產的現金流貼現模型,最重要的變化是現金流的屬性。拋開交易因素,投資股票應該就是投資企業的股權。企業的股權是一種剩余分配權益。享受公司在支付所有成本和利息之后的凈利潤的分配。因此股票資產的現金流貼現模型上的現金流原則上應該等于公司的凈利潤。既然股票資產的現金流貼現模型中,分子項是企業的凈利潤,那么它自然是波動的。不同企業利潤的穩定性和增長性是不同的。這決定了不同企業的股票價值是不同的。
其次,對于股票而言,該模型的N是一個很重要的但容易被我們忽略的變量。該變量表示的是企業的存續期。被人們忽略是因為,大多數投資者投資股票的持有期限是比較短暫的,不需要考慮企業的存續期問題。但對于長期投資者而言,不得不考慮企業在未來還能活多久的問題。巴菲特在新冠疫情期間決定底部砍倉航空公司,其基本的邏輯是,由于對新冠疫情的后續演繹非常不確定,他不知道航空公司在未來還能不能活下來。按照巴菲特的原話,他不知道,未來人類還是否需要飛機。
最后,股票資產的折現因子也具有特殊性。對于股票而言,r=Rf(無風險利率)+ERP(股權風險溢價)。Rf衡量的是無風險利率,一般而言用十年期國債收益率作為代替。很顯然這個利率受到了貨幣政策,經濟景氣度的影響。ERP(股權風險溢價)衡量的是投資者愿意接受多高的預期收益率來投資股市。很顯然,該指標能反映投資者的風險偏好。如果股權風險溢價過高,說明風險偏好較低。但該指標是整個模型中比較藝術的部分,因為投資者的情緒是不可捉摸的,也很難預測。資產定價模型中的折現率本質上是投資股票資產的一種機會成本的衡量。我們投資股票資產的收益率至少要等于r,否則我沒有必要投資股票。
結合上述分析,我們可以概括一下(圖2),分析股票資產的核心要點,最重要的是盈利大小及其增長,其次是無風險利率,其次是風險偏好。

圖2 股票價值定價三因子
債券資產的定價也適用現金流貼現模型。但是債券資產的定價三因子都有自己的特征。

圖3 債券資產的現金流特征
首先,現金流特征上,債券資產獲得的是票面利息和末期的本金。大多數債券的票面利息是固定的,在購買債券之前已經約定好了,比如票面利率的5%。其次,現金流的時間分布上也有特征。在債券到期前的每一期都是相同的且占比較小的利息現金流。債券到期末期是本金+最后一起利息。也就是說,總體現金流中的大頭是最后一期的本金,前面的都是小頭。因為這樣的時間分布結構,給予了龐氏騙局的機會。所以,在借債的時候,對方資質和信用是做關鍵的。否則的話,容易陷入“你盯著別人的利息,別人盯著你的本金”的陷進之中。
其次,債券資產的現金流的存續期通常都是提前確定了的,通常會少于10年。因為時間越久,我們對借債人的資質越高。事實上,只有少數主體能夠發行超過10年的債券。比如主權政府,大型銀行等。

最后,債券資產的折現率就是無風險利率Rf。可以認為,Rf是投資債券的機會成本。
正如債券資產具有以上這些特征,所以在分析債券資產時,最重要的分析是違約風險和Rf的走勢。因為利息和本金都是已經確定的。只有違約風險和無風險利率是會變的。
房地產資產的定價也可以按照現金流貼現模型去理解。

圖4 房地產的現金流特征
房地產現金流也有自身的特征。地產資產的現金流本質上是租金,并不存在像債券那樣歸還本金的問題。租金的回收率具有較高的保障。租客一個月不交租金,房東將有權沒收其押金,并將尋找新的租客。只有在經濟危機時,大面積的租客違約,長時間找不到租客的現象會存在。此時對地產的價格會造成較大的沖擊。與此同時,我們看到,租金還具有增長特征。雖然增長的速度較慢,但整體上是增長的。一般而言,租金的增長和通脹的幅度基本相當。因此房地產也是一個抗通脹的資產。
房地產的存續期也很長,比大多數企業還要長。房產建好之后,一般可以存續數十年,甚至百年。房地產現金流的折現率也可以用無風險利率。這一點和債券沒有太大的區別。
基于此,分析地產的價值主要分析的點是租金率和租金的增長,其次是無風險利率低變化。因為地產是長久期資產,所以無風險利率的變化對地產的價值影響較大。所以一般而言,降息會推升房價。
股票、債券、房地產的定價原理都可以用現金流貼現模型,區別是現金流的屬性、存續期的特征、以及折現率的內涵。
上文我們主要講的是生息資產的定價原理。所謂生息資產,就是投資該資產,是會產生新的現金流的,不論這個現金流是凈利潤,還是利息,還是租金,本質上是一種生息資產。但是在現實世界中,還有很多資產是不生息的。比如黃金,原油,農產品等大宗商品。這些資產如何分析?他們的定價原理是什么?
黃金本質上是一種特殊的貨幣。雖然各國都明文規定,日常經濟交易中不允許使用黃金,但是全世界主要央行都大量持有黃金,普通民眾也有收藏黃金的習慣。因此,從本質上,黃金依然是一種特殊的貨幣,而且是實物貨幣。因為黃金在全球是通用的,各國央行都承認的。所以它也是國際儲備貨幣。這樣的話,它就成了美元的競爭對手。
貨幣的價值在于提供流動性。但黃金只能在特殊時候提供流動性,比如戰亂,惡性通脹的時候。這限制了黃金的價值。我們從黃金是一種實物國際儲備貨幣的角度去理解黃金的價值。既然是實物貨幣,而且黃金的新增供應是稀少的。所以可以認為黃金的價值是基本穩定的。我們可以從黃金作為美元的競爭對手的角度判斷黃金的價值。
我們假設T=0期 黃金的價格為1000美元/盎司,同期通脹指數為1。T=10期后,通脹指數為1.10,也就是說,物價水平上漲了10%。由于黃金是實物貨幣,假定這一期間黃金的供給沒有增加,那么T=10期,黃金的價值應該等于T=0期的黃金的價值。也就是說,T=10期,黃金的美元價格應該和T=0期的美元價格。那么T=0的美元價格在T=10期為1100美元。所以黃金在T=10期為1100美元。從這個意義上將,黃金是一個零息債券,生息率和通脹率相等。
表2 黃金可以認為是零息債券
T=0 | T=10 | |
黃金 | 1000美元/盎司 | 1100=(T=0期的1000美元) |
通脹 | 1 | 1.10 |
2.其他非生息資產的定價主要看供給和需求
對于原油、焦炭、農產品等大宗商品的價格,他們的價格主要受供給和需求影響。分析這些資產的框架基本建立在經濟學的供給需求框架上。把影響供給和影響需求的因素確定好,并且明確每一個因素的重要性。然后結合具體的時空背景,具體分析哪些變量會成為主導變量,進而得到分析結論。
表3 影響原油價格的供求因素
供給 | 需求 | |
原油 | OPEC+;美國頁巖油;中東地緣政治;開采技術 | 全球經濟景氣度;能源技術的變化 |
以原油為例,原油價格完全由于原油的供給和需求決定。在需求比較穩定的時候,供給的變化起主導作用。通常而言,原油的需求基本穩定,所以原油價格的波動主要來自供給側。這些因素包括OPEC+的會議精神;美國頁巖油的開采情況;地緣政治對中東產油國的影響等等。需求方面在特殊時候會產生影響。比如2020年新冠疫情以來,全球的航線大幅銳減,整個原油的需求大幅下降,原油價格曾經一度跌破20美元/桶。除此之外,原油的長期需求還受到了綠色能源技術發展的威脅。
由于影響原油價格的變量很多,而且很多關鍵變量還和政治掛鉤。這對于很多普通投資者而言,這是很難把握的。窮其一生可能也很難成為一個中東問題專家。所以通常情況下,不建議大家戰略性配置這些關鍵變量不可控不可測的資產。
萬變不離其宗。我們只要掌握了資產定價的基本原理,在分析資產價格的時候才能有的放矢。
以股票為例,任何事件或者變化的發生,我們要追問的三個問題是:它是如何影響企業的盈利及其增長;它是如何影響無風險利率;它是如何影響風險偏好。
我們以降準對股票市場影響為例加以說明。央行降準后,按照剛才的思路,我們應該問:該政策會影響企業盈利嗎?會影響無風險利率嗎?會影響風險偏好嗎?其他政策、變化都可以沿著這樣的思路去思考。

圖5 降準對股市的影響
由于降準后,原本以一部分準備金儲存的資金得以釋放,這會產生新的貨幣供應量。與此同時,銀行通過便宜的準備金置換MLF,銀行端的負債成本降低,這有助于銀行資產端的利率要求,從而達到降息的目的。
因此,降準會有助于降低企業融資成本,提高盈利,促進盈利的增長;降準降低了銀行端的成本,無風險利率或有降低。降準引發更大的寬松預期,無風險利率還可能會進一步降低。按照上述分析,降準后,股票市場會上行。但降準最終能否帶來股票市場的上漲,還要看同一時間是否有發生其他的負面消息,負面效果超過了降準的正面效果。如果是,則降準后,股票市場還可能會跌。
資產定價的模型會層出不窮,但現金流貼現模型可以稱之為資產定價模型的基石。對于股票、債券、地產等生息資產,基本都適用現金流貼現模型,核心的區別在于現金流的屬性、存續期的特征、以及折現率的內涵。而這也是核心的“定價三因子”。非生息資產主要應用供求框架。對這些模型和框架的深刻理解,是我們認識資產價格的基礎。對于投資者而言,重點是關注生息資產的定價原理。因為我們的財富主要配置的方向,也是為投資者創造回報的最重要的部分。
深度解讀:資產定價的基本原理
2021-08-10 來源:嘉實財富
希望我們每個投資者都能建立合理的分析框架。而現金流貼現模型的正確理解是這個工作的開始。祝愿大家投資愉快!
文:嘉實財富高級研究員 譚華清博士
希望我們每個投資者都能建立合理的分析框架。而現金流貼現模型的正確理解是這個工作的開始。祝愿大家投資愉快!
——寫在前面的話
一、現金流貼現模型是資產定價的核心
資產價格每天都在波動。有時候像浪花,有時候像潮汐。200多年來,一代又一代的智者付出了自己的智慧和思考,試圖尋找到資產價格波動的奧秘。有一個模型自從提出來之后,始終占據投資者分析圖譜中最核心的位置。它就是現金流貼現模型。
現金流貼現模型的基本表達式如下圖所示:

圖1 現金流貼現模式是生息資產定價的基石
根據不同資產的現金屬性,該等式會有不同的變化。主要變化集中在現金流屬性、存續期長短、折現率含義等上面。我們可以把現金流屬性、存續期、折現率稱之為定價三因子。應用該模型需要注意的地方。如果股票不上市,那么所投股票的價值就應該滿足現金流貼現模型。類似的,所有的資產,如果不是上市交易的話,其價值就應該等于該資產在存續期內提供現金流的現值之和。但有了上市交易這個場景,資產價格變得更加不穩定,因為不同交易者所面臨的信息不同,解讀結論不同,對資產價格前景的預期就會不同,于是就有交易價格。這個交易價格可能會高于資產價值,也可能會低于資產價值。是高于還是低于,這個判斷也是主觀的,并非有一個客觀的標尺。這就是投資的難度。

圖2 股票資產的現金流貼現模型
注:D為每期的現金流,r為折現率,n為股份公司的存續期。
股票資產的現金流貼現模型,最重要的變化是現金流的屬性。拋開交易因素,投資股票應該就是投資企業的股權。企業的股權是一種剩余分配權益。享受公司在支付所有成本和利息之后的凈利潤的分配。因此股票資產的現金流貼現模型上的現金流原則上應該等于公司的凈利潤。既然股票資產的現金流貼現模型中,分子項是企業的凈利潤,那么它自然是波動的。不同企業利潤的穩定性和增長性是不同的。這決定了不同企業的股票價值是不同的。
其次,對于股票而言,該模型的N是一個很重要的但容易被我們忽略的變量。該變量表示的是企業的存續期。被人們忽略是因為,大多數投資者投資股票的持有期限是比較短暫的,不需要考慮企業的存續期問題。但對于長期投資者而言,不得不考慮企業在未來還能活多久的問題。巴菲特在新冠疫情期間決定底部砍倉航空公司,其基本的邏輯是,由于對新冠疫情的后續演繹非常不確定,他不知道航空公司在未來還能不能活下來。按照巴菲特的原話,他不知道,未來人類還是否需要飛機。
最后,股票資產的折現因子也具有特殊性。對于股票而言,r=Rf(無風險利率)+ERP(股權風險溢價)。Rf衡量的是無風險利率,一般而言用十年期國債收益率作為代替。很顯然這個利率受到了貨幣政策,經濟景氣度的影響。ERP(股權風險溢價)衡量的是投資者愿意接受多高的預期收益率來投資股市。很顯然,該指標能反映投資者的風險偏好。如果股權風險溢價過高,說明風險偏好較低。但該指標是整個模型中比較藝術的部分,因為投資者的情緒是不可捉摸的,也很難預測。資產定價模型中的折現率本質上是投資股票資產的一種機會成本的衡量。我們投資股票資產的收益率至少要等于r,否則我沒有必要投資股票。
結合上述分析,我們可以概括一下(圖2),分析股票資產的核心要點,最重要的是盈利大小及其增長,其次是無風險利率,其次是風險偏好。

圖2 股票價值定價三因子
債券資產的定價也適用現金流貼現模型。但是債券資產的定價三因子都有自己的特征。

圖3 債券資產的現金流特征
首先,現金流特征上,債券資產獲得的是票面利息和末期的本金。大多數債券的票面利息是固定的,在購買債券之前已經約定好了,比如票面利率的5%。其次,現金流的時間分布上也有特征。在債券到期前的每一期都是相同的且占比較小的利息現金流。債券到期末期是本金+最后一起利息。也就是說,總體現金流中的大頭是最后一期的本金,前面的都是小頭。因為這樣的時間分布結構,給予了龐氏騙局的機會。所以,在借債的時候,對方資質和信用是做關鍵的。否則的話,容易陷入“你盯著別人的利息,別人盯著你的本金”的陷進之中。
其次,債券資產的現金流的存續期通常都是提前確定了的,通常會少于10年。因為時間越久,我們對借債人的資質越高。事實上,只有少數主體能夠發行超過10年的債券。比如主權政府,大型銀行等。

最后,債券資產的折現率就是無風險利率Rf。可以認為,Rf是投資債券的機會成本。
正如債券資產具有以上這些特征,所以在分析債券資產時,最重要的分析是違約風險和Rf的走勢。因為利息和本金都是已經確定的。只有違約風險和無風險利率是會變的。
房地產資產的定價也可以按照現金流貼現模型去理解。

圖4 房地產的現金流特征
房地產現金流也有自身的特征。地產資產的現金流本質上是租金,并不存在像債券那樣歸還本金的問題。租金的回收率具有較高的保障。租客一個月不交租金,房東將有權沒收其押金,并將尋找新的租客。只有在經濟危機時,大面積的租客違約,長時間找不到租客的現象會存在。此時對地產的價格會造成較大的沖擊。與此同時,我們看到,租金還具有增長特征。雖然增長的速度較慢,但整體上是增長的。一般而言,租金的增長和通脹的幅度基本相當。因此房地產也是一個抗通脹的資產。
房地產的存續期也很長,比大多數企業還要長。房產建好之后,一般可以存續數十年,甚至百年。房地產現金流的折現率也可以用無風險利率。這一點和債券沒有太大的區別。
基于此,分析地產的價值主要分析的點是租金率和租金的增長,其次是無風險利率低變化。因為地產是長久期資產,所以無風險利率的變化對地產的價值影響較大。所以一般而言,降息會推升房價。
股票、債券、房地產的定價原理都可以用現金流貼現模型,區別是現金流的屬性、存續期的特征、以及折現率的內涵。
上文我們主要講的是生息資產的定價原理。所謂生息資產,就是投資該資產,是會產生新的現金流的,不論這個現金流是凈利潤,還是利息,還是租金,本質上是一種生息資產。但是在現實世界中,還有很多資產是不生息的。比如黃金,原油,農產品等大宗商品。這些資產如何分析?他們的定價原理是什么?
黃金本質上是一種特殊的貨幣。雖然各國都明文規定,日常經濟交易中不允許使用黃金,但是全世界主要央行都大量持有黃金,普通民眾也有收藏黃金的習慣。因此,從本質上,黃金依然是一種特殊的貨幣,而且是實物貨幣。因為黃金在全球是通用的,各國央行都承認的。所以它也是國際儲備貨幣。這樣的話,它就成了美元的競爭對手。
貨幣的價值在于提供流動性。但黃金只能在特殊時候提供流動性,比如戰亂,惡性通脹的時候。這限制了黃金的價值。我們從黃金是一種實物國際儲備貨幣的角度去理解黃金的價值。既然是實物貨幣,而且黃金的新增供應是稀少的。所以可以認為黃金的價值是基本穩定的。我們可以從黃金作為美元的競爭對手的角度判斷黃金的價值。
我們假設T=0期 黃金的價格為1000美元/盎司,同期通脹指數為1。T=10期后,通脹指數為1.10,也就是說,物價水平上漲了10%。由于黃金是實物貨幣,假定這一期間黃金的供給沒有增加,那么T=10期,黃金的價值應該等于T=0期的黃金的價值。也就是說,T=10期,黃金的美元價格應該和T=0期的美元價格。那么T=0的美元價格在T=10期為1100美元。所以黃金在T=10期為1100美元。從這個意義上將,黃金是一個零息債券,生息率和通脹率相等。
表2 黃金可以認為是零息債券
T=0 | T=10 | |
黃金 | 1000美元/盎司 | 1100=(T=0期的1000美元) |
通脹 | 1 | 1.10 |
2.其他非生息資產的定價主要看供給和需求
對于原油、焦炭、農產品等大宗商品的價格,他們的價格主要受供給和需求影響。分析這些資產的框架基本建立在經濟學的供給需求框架上。把影響供給和影響需求的因素確定好,并且明確每一個因素的重要性。然后結合具體的時空背景,具體分析哪些變量會成為主導變量,進而得到分析結論。
表3 影響原油價格的供求因素
供給 | 需求 | |
原油 | OPEC+;美國頁巖油;中東地緣政治;開采技術 | 全球經濟景氣度;能源技術的變化 |
以原油為例,原油價格完全由于原油的供給和需求決定。在需求比較穩定的時候,供給的變化起主導作用。通常而言,原油的需求基本穩定,所以原油價格的波動主要來自供給側。這些因素包括OPEC+的會議精神;美國頁巖油的開采情況;地緣政治對中東產油國的影響等等。需求方面在特殊時候會產生影響。比如2020年新冠疫情以來,全球的航線大幅銳減,整個原油的需求大幅下降,原油價格曾經一度跌破20美元/桶。除此之外,原油的長期需求還受到了綠色能源技術發展的威脅。
由于影響原油價格的變量很多,而且很多關鍵變量還和政治掛鉤。這對于很多普通投資者而言,這是很難把握的。窮其一生可能也很難成為一個中東問題專家。所以通常情況下,不建議大家戰略性配置這些關鍵變量不可控不可測的資產。
萬變不離其宗。我們只要掌握了資產定價的基本原理,在分析資產價格的時候才能有的放矢。
以股票為例,任何事件或者變化的發生,我們要追問的三個問題是:它是如何影響企業的盈利及其增長;它是如何影響無風險利率;它是如何影響風險偏好。
我們以降準對股票市場影響為例加以說明。央行降準后,按照剛才的思路,我們應該問:該政策會影響企業盈利嗎?會影響無風險利率嗎?會影響風險偏好嗎?其他政策、變化都可以沿著這樣的思路去思考。

圖5 降準對股市的影響
由于降準后,原本以一部分準備金儲存的資金得以釋放,這會產生新的貨幣供應量。與此同時,銀行通過便宜的準備金置換MLF,銀行端的負債成本降低,這有助于銀行資產端的利率要求,從而達到降息的目的。
因此,降準會有助于降低企業融資成本,提高盈利,促進盈利的增長;降準降低了銀行端的成本,無風險利率或有降低。降準引發更大的寬松預期,無風險利率還可能會進一步降低。按照上述分析,降準后,股票市場會上行。但降準最終能否帶來股票市場的上漲,還要看同一時間是否有發生其他的負面消息,負面效果超過了降準的正面效果。如果是,則降準后,股票市場還可能會跌。
資產定價的模型會層出不窮,但現金流貼現模型可以稱之為資產定價模型的基石。對于股票、債券、地產等生息資產,基本都適用現金流貼現模型,核心的區別在于現金流的屬性、存續期的特征、以及折現率的內涵。而這也是核心的“定價三因子”。非生息資產主要應用供求框架。對這些模型和框架的深刻理解,是我們認識資產價格的基礎。對于投資者而言,重點是關注生息資產的定價原理。因為我們的財富主要配置的方向,也是為投資者創造回報的最重要的部分。